שתף
אולי יעניין אותך גם...
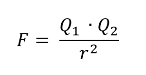
כוח חשמלי – הסבר פשוט ומעמיק עם נוסחאות, דוגמאות ותרגול
מהו כוח חשמלי? איך מחשבים אותו? כל מה שצריך לדעת – עם נוסחאות, דוגמאות, טבלאות, גרפים ותרגול ברור ונגיש לכל רמה.
מהו כוח חשמלי? איך מחשבים אותו? כל מה שצריך לדעת – עם נוסחאות, דוגמאות, טבלאות, גרפים ותרגול ברור ונגיש לכל רמה.
כדי לספק את החוויה הטובה ביותר, אנו משתמשים בטכנולוגיות כגון קובצי עוגיות (cookies) כדי לאחסן ו/או לגשת למידע במכשיר. הסכמה לטכנולוגיות אלו תאפשר לנו לעבד נתונים כגון התנהגות גלישה או מזהים ייחודיים באתר זה. אי-הסכמה או ביטול ההסכמה עלולים להשפיע לרעה על תכונות ופונקציות מסוימות.
רוצים להישאר מעודכנים? הצטרפו לקבוצה שלנו ותקבלו עדכונים חשובים בזמן אמת! 🚀