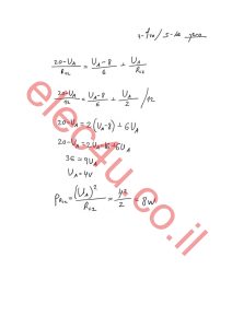
פתרון מבחן מוביל 711001 – 2025 – יג טכנאים – אלקטרוניקה ומחשבים (18)

אולי יעניין אותך גם...

כוח חשמלי – הסבר פשוט ומעמיק עם נוסחאות, דוגמאות ותרגול

מהו כוח חשמלי? איך מחשבים אותו? כל מה שצריך לדעת – עם נוסחאות, דוגמאות, טבלאות, גרפים ותרגול ברור ונגיש לכל רמה.

נגישות
error: © תוכן זה שמור באמצעות זכויות יוצרים, אין אפשרות לבצע העתקה. ©